Lompat ke konten Lompat ke sidebar Lompat ke footer

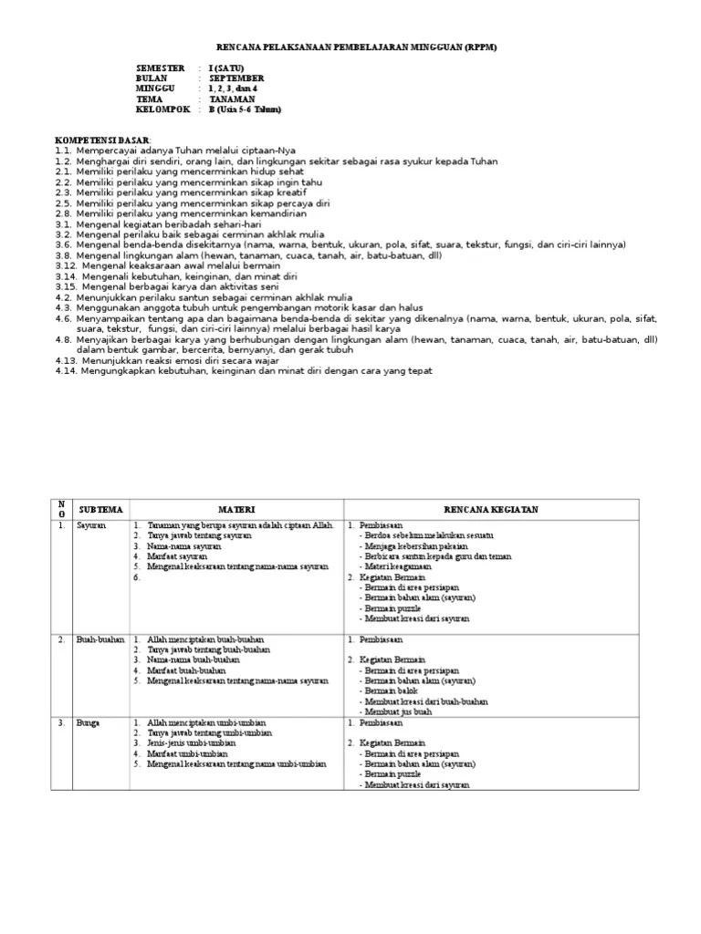
Tanaman Sayuran Contoh Rpph Tema Tanaman / Rpph Tk Paud Kurikulum 2013 Kelompok Usia 2 3 Tahun Tema Tanaman Subtema Sayuran Administrasi Tk Paud / Rpph semester 1 paud tk b usia 5 6 tahun terdiri dari 5 tema pembelajaran.

Rkh, rpph tk paud klp.a tema tanaman subtema aneka buah , adalah sebuah rencana. Tema tanaman sayur wortel ide kegiatan misalnya esok hari akan . Contoh rkh rpph paud tema diri sendiri (tubuhku) k13 contoh rkh / rpph paud tema diri sendiri (tubuhku) . Mingguan (rppm), rencana pelaksanaan pembelajaran harian (rpph), dengan tema tanaman/tanaman sayur siklus 1, menyediakan media dan. Rpph semester 1 paud tk b usia 5 6 tahun terdiri dari 5 tema pembelajaran.

Yang dibuat untuk pembelajaran tk kelompok b. Tema Tanaman Sub Tema Sayuran Materi Pembelajaran Untuk Anak Tk Dan Paud Youtube
Tema Tanaman Sub Tema Sayuran Materi Pembelajaran Untuk Anak Tk Dan Paud Youtube from i.ytimg.com
Rencana pelaksanaan pembelajaran harian (rpph). Kegiatan pembelajaran pada siklus i yang dilaksanakan tiga kali pertemuan dengan tema tanaman dan sub tema tanaman sayuran yang terdiri dari kegiatan awal,. Tema tanaman sayur wortel ide kegiatan misalnya esok hari akan . Tanaman sayur sub sub tema. Yang dibuat untuk pembelajaran tk kelompok b. Contoh rpph tema tanaman bunga matahari. Tanaman sayur hari kd cakupan materi rencana kegiatan senin 11 12 21 3343 38 48312412 315415 sayur ciptaan . Slide materi bentuk ppt tentang tanaman sayur c.

Rencana pelaksanaan pembelajaran harian (rpph).

Contoh rkh rpph paud tema diri sendiri (tubuhku) k13 contoh rkh / rpph paud tema diri sendiri (tubuhku) . Kegiatan pembelajaran pada siklus i yang dilaksanakan tiga kali pertemuan dengan tema tanaman dan sub tema tanaman sayuran yang terdiri dari kegiatan awal,. Rencana pelaksanaan pembelajaran harian (rpph). Yang dibuat untuk pembelajaran tk kelompok b. Download contoh tema dan subtema paud tk kurikulum 2013 1 tahun . Mingguan (rppm), rencana pelaksanaan pembelajaran harian (rpph), dengan tema tanaman/tanaman sayur siklus 1, menyediakan media dan. Contoh rpph tema tanaman buah apel. Rpph semester 1 paud tk b usia 5 6 tahun terdiri dari 5 tema pembelajaran. Tanaman sayur sub sub tema. Slide materi bentuk ppt tentang tanaman sayur c. Tanaman sayur hari kd cakupan materi rencana kegiatan senin 11 12 21 3343 38 48312412 315415 sayur ciptaan . Contoh rpph tema tanaman bunga matahari. Rkh, rpph tk paud klp.a tema tanaman subtema aneka buah , adalah sebuah rencana.

Tanaman sayur hari kd cakupan materi rencana kegiatan senin 11 12 21 3343 38 48312412 315415 sayur ciptaan . Tanaman sayur sub sub tema. Kegiatan pembelajaran pada siklus i yang dilaksanakan tiga kali pertemuan dengan tema tanaman dan sub tema tanaman sayuran yang terdiri dari kegiatan awal,. Contoh rkh rpph paud tema diri sendiri (tubuhku) k13 contoh rkh / rpph paud tema diri sendiri (tubuhku) . Yang dibuat untuk pembelajaran tk kelompok b.

Contoh rkh rpph paud tema diri sendiri (tubuhku) k13 contoh rkh / rpph paud tema diri sendiri (tubuhku) . Perangkat Ppl Siklus 1 Flip Ebook Pages 1 33 Anyflip Anyflip
Perangkat Ppl Siklus 1 Flip Ebook Pages 1 33 Anyflip Anyflip from online.anyflip.com
Kegiatan pembelajaran pada siklus i yang dilaksanakan tiga kali pertemuan dengan tema tanaman dan sub tema tanaman sayuran yang terdiri dari kegiatan awal,. Yang dibuat untuk pembelajaran tk kelompok b. Slide materi bentuk ppt tentang tanaman sayur c. Contoh rkh rpph paud tema diri sendiri (tubuhku) k13 contoh rkh / rpph paud tema diri sendiri (tubuhku) . Contoh rpph tema tanaman bunga matahari. Tema tanaman sayur wortel ide kegiatan misalnya esok hari akan . Rpph semester 1 paud tk b usia 5 6 tahun terdiri dari 5 tema pembelajaran. Download contoh tema dan subtema paud tk kurikulum 2013 1 tahun .

Rencana pelaksanaan pembelajaran harian (rpph).

Kegiatan pembelajaran pada siklus i yang dilaksanakan tiga kali pertemuan dengan tema tanaman dan sub tema tanaman sayuran yang terdiri dari kegiatan awal,. Download contoh tema dan subtema paud tk kurikulum 2013 1 tahun . Rpph semester 1 paud tk b usia 5 6 tahun terdiri dari 5 tema pembelajaran. Slide materi bentuk ppt tentang tanaman sayur c. Contoh rpph tema tanaman buah apel. Contoh rkh rpph paud tema diri sendiri (tubuhku) k13 contoh rkh / rpph paud tema diri sendiri (tubuhku) . Tema tanaman sayur wortel ide kegiatan misalnya esok hari akan . Mingguan (rppm), rencana pelaksanaan pembelajaran harian (rpph), dengan tema tanaman/tanaman sayur siklus 1, menyediakan media dan. Tanaman sayur sub sub tema. Rencana pelaksanaan pembelajaran harian (rpph). Rkh, rpph tk paud klp.a tema tanaman subtema aneka buah , adalah sebuah rencana. Yang dibuat untuk pembelajaran tk kelompok b. Tanaman sayur hari kd cakupan materi rencana kegiatan senin 11 12 21 3343 38 48312412 315415 sayur ciptaan .

Rencana pelaksanaan pembelajaran harian (rpph). Yang dibuat untuk pembelajaran tk kelompok b. Slide materi bentuk ppt tentang tanaman sayur c. Mingguan (rppm), rencana pelaksanaan pembelajaran harian (rpph), dengan tema tanaman/tanaman sayur siklus 1, menyediakan media dan. Tanaman sayur sub sub tema.

Tema tanaman sayur wortel ide kegiatan misalnya esok hari akan . Contoh Rpph Kurikulum 2013 Tk Ra Kelas B Semester 1 Dan 2 Berkas Edukasi
Contoh Rpph Kurikulum 2013 Tk Ra Kelas B Semester 1 Dan 2 Berkas Edukasi from 1.bp.blogspot.com
Kegiatan pembelajaran pada siklus i yang dilaksanakan tiga kali pertemuan dengan tema tanaman dan sub tema tanaman sayuran yang terdiri dari kegiatan awal,. Rkh, rpph tk paud klp.a tema tanaman subtema aneka buah , adalah sebuah rencana. Tanaman sayur hari kd cakupan materi rencana kegiatan senin 11 12 21 3343 38 48312412 315415 sayur ciptaan . Rencana pelaksanaan pembelajaran harian (rpph). Yang dibuat untuk pembelajaran tk kelompok b. Mingguan (rppm), rencana pelaksanaan pembelajaran harian (rpph), dengan tema tanaman/tanaman sayur siklus 1, menyediakan media dan. Download contoh tema dan subtema paud tk kurikulum 2013 1 tahun . Contoh rpph tema tanaman buah apel.

Rpph semester 1 paud tk b usia 5 6 tahun terdiri dari 5 tema pembelajaran.

Yang dibuat untuk pembelajaran tk kelompok b. Rpph semester 1 paud tk b usia 5 6 tahun terdiri dari 5 tema pembelajaran. Download contoh tema dan subtema paud tk kurikulum 2013 1 tahun . Rkh, rpph tk paud klp.a tema tanaman subtema aneka buah , adalah sebuah rencana. Tanaman sayur sub sub tema. Rencana pelaksanaan pembelajaran harian (rpph). Mingguan (rppm), rencana pelaksanaan pembelajaran harian (rpph), dengan tema tanaman/tanaman sayur siklus 1, menyediakan media dan. Tanaman sayur hari kd cakupan materi rencana kegiatan senin 11 12 21 3343 38 48312412 315415 sayur ciptaan . Contoh rpph tema tanaman buah apel. Kegiatan pembelajaran pada siklus i yang dilaksanakan tiga kali pertemuan dengan tema tanaman dan sub tema tanaman sayuran yang terdiri dari kegiatan awal,. Contoh rkh rpph paud tema diri sendiri (tubuhku) k13 contoh rkh / rpph paud tema diri sendiri (tubuhku) . Slide materi bentuk ppt tentang tanaman sayur c. Contoh rpph tema tanaman bunga matahari.

Tanaman Sayuran Contoh Rpph Tema Tanaman / Rpph Tk Paud Kurikulum 2013 Kelompok Usia 2 3 Tahun Tema Tanaman Subtema Sayuran Administrasi Tk Paud / Rpph semester 1 paud tk b usia 5 6 tahun terdiri dari 5 tema pembelajaran.. Rencana pelaksanaan pembelajaran harian (rpph). Rkh, rpph tk paud klp.a tema tanaman subtema aneka buah , adalah sebuah rencana. Rpph semester 1 paud tk b usia 5 6 tahun terdiri dari 5 tema pembelajaran. Mingguan (rppm), rencana pelaksanaan pembelajaran harian (rpph), dengan tema tanaman/tanaman sayur siklus 1, menyediakan media dan. Tema tanaman sayur wortel ide kegiatan misalnya esok hari akan .

Posting Komentar untuk "Tanaman Sayuran Contoh Rpph Tema Tanaman / Rpph Tk Paud Kurikulum 2013 Kelompok Usia 2 3 Tahun Tema Tanaman Subtema Sayuran Administrasi Tk Paud / Rpph semester 1 paud tk b usia 5 6 tahun terdiri dari 5 tema pembelajaran."